The importance of a multidisciplinary team in rectal cancer management
DOI:
https://doi.org/10.15386/cjmed-689Keywords:
rectal neoplasms, adjuvant therapy, chemoradiotherapy, prognosisAbstract
Introduction. The aim of this study was to evaluate the impact of the interval between surgery and adjuvant treatments regarding the overall survival and recurrence-free survival in patients from a developing country. For stages II and III rectal cancer, international guidelines recommend neoadjuvant chemoradiotherapy (CRT) regardless of the tumor location. In the developing countries there is a shortage of radiotherapy centers, specialists, which lead to long waiting lists for radiotherapy. These problems might lead to protocol deviations.
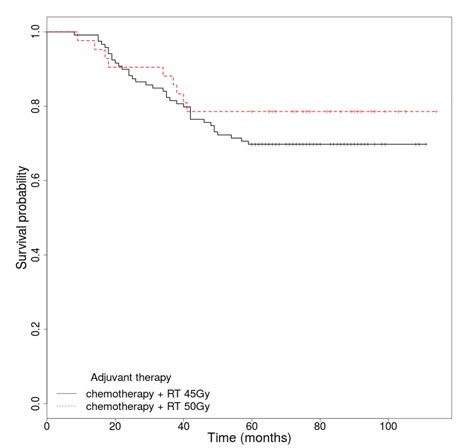
Methods. We conducted a retrospective study on 161 patients with rectal cancer treated with surgery, postoperative CRT and with or without chemotherapy for a total of 6 months, at The Oncology Institute Cluj-Napoca between 2006- 2010. All patients had 5 years of follow-up.
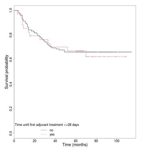
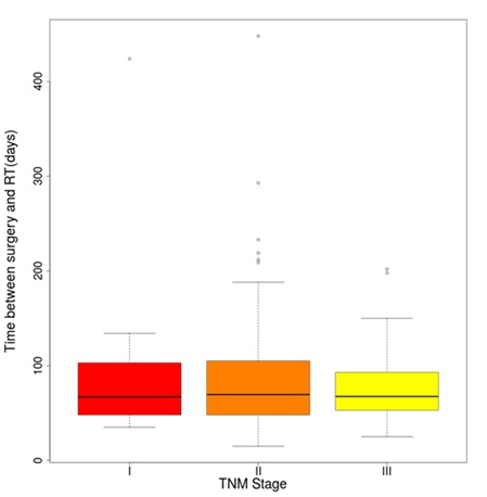
Results. A total of 161 patients were enrolled in this study. The majority of patients were locally advanced stages (89.44%). The well known prognostic factors, such as TNM stage, performance status, CEA serum level, perineural, vascular and lymphatic invasion, and node capsular effraction had a statistically significant influence on overall survival. In 21.12% of patients the first adjuvant treatment was started in the first 4 weeks after surgery. Only 13.04% of patients started the concomitant CRT within the limit of 6 weeks after surgery. Concerning the time between surgery and CRT, we did not observe a statistically significantly difference in OS if the radiotherapy started after the first 6 weeks (p=0.701). The OS rate for locally advanced rectal cancer patients was 69.44%.
Conclusions. In rectal cancer, the importance of the first therapeutic act is crucial. Following international guidelines provides a survival advantage and a better quality of life. In case of adjuvant treatment, it is recommended to start this treatment as soon as the local infrastructure allows it.
Downloads
Additional Files
Published
How to Cite
Issue
Section
License
The authors are required to transfer the copyright of the published paper to the journal. This is done by agreeing to sign the Copyright Assignment Form. Whenever the case, authors are also required to send permissions to reproduce material (such as illustrations) from the copyright holder.

The papers published in the journal are licensed under a Creative Commons Attribution-NonCommercial-NoDerivatives 4.0 International License.